遍历顺序:根左右(
DFS 深度优先遍历)
先访问根节点,然后遍历左子树,最后遍历右子树

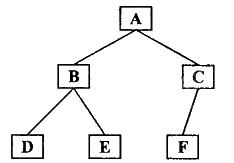
结果:ABDECF
var preorderTraversal = function (root, array = []) {
if (root) {
array.push(root.val);
preorderTraversal(root.left, array);
preorderTraversal(root.right, array);
}
return array;
};
从根节点开始遍历:
访问节点值
左孩子入栈,直到节点左孩子为空
节点出栈,以节点的右孩子为目标重复 1,2,3
var preorderTraversal = function (root) {
const result = [];
const stack = [];
let current = root;
while (current || stack.length > 0) {
// 从当前节点开始,边访问值边把左孩子依次入栈
while (current) {
result.push(current.val);
stack.push(current);
current = current.left;
}
// 当前节点(上一个节点的左孩子)为空,取出上一个节点
current = stack.pop();
// 从节点的右子树开始重复之前的操作
current = current.right;
}
return result;
};
遍历顺序:左根右
先遍历左子树,然后访问根节点,最后遍历右子树

结果:DBEAFC
var inorderTraversal = function (root, array = []) {
if (root) {
inorderTraversal(root.left, array);
array.push(root.val);
inorderTraversal(root.right, array);
}
return array;
};
从根节点开始遍历:
左孩子入栈,直到节点左孩子为空
出栈并访问节点值
以节点的右孩子为目标重复 1,2,3
var inorderTraversal = function (root) {
const result = [];
const stack = [];
let current = root;
while (current || stack.length > 0) {
// 从当前节点开始,把所有左孩子入栈
while (current) {
stack.push(current);
current = current.left;
}
// 当前节点(上一个节点的左孩子)为空,上一个节点出栈
current = stack.pop();
// 访问节点值
result.push(current.val);
// 从节点的右子树开始重复之前的操作
current = current.right;
}
return result;
};
遍历顺序:左右根
先遍历左子树,然后遍历右子树,最后访问根节点

结果:DEBFCA
var postorderTraversal = function (root, array = []) {
if (root) {
postorderTraversal(root.left, array);
postorderTraversal(root.right, array);
array.push(root.val);
}
return array;
};
从根节点开始遍历:
左孩子入栈,直到节点左孩子为空
检查栈顶的节点,如果右节点为空或者右节点被访问过,节点出栈并访问,并标记节点为已访问
如果栈顶的右节点不为空且未访问,以节点的右孩子为目标重复 1,2,3
var postorderTraversal = function (root) {
const result = [];
const stack = [];
let last = null; // 标记上一个访问的节点
let current = root;
while (current || stack.length > 0) {
// 从当前节点开始,把所有左孩子入栈
while (current) {
stack.push(current);
current = current.left;
}
// 获得栈顶节点
current = stack[stack.length - 1];
// 如果栈顶节点没有右节点 或 右节点已访问过
if (!current.right || current.right == last) {
// 节点出栈并访问值
current = stack.pop();
result.push(current.val);
// 标记节点为已访问
last = current;
current = null; // 继续去到下一个栈顶节点
} else {
// 有右节点且没有被访问过,从右子树开始重复之前的操作
current = current.right;
}
}
return result;
};